Online Journal for E&P Geoscientists
Home
About
New Articles
Special Collections
AAPG Africa Region Meetings
AAPG Asia Pacific Regional Meetings
AAPG DPA Playmaker Forums
AAPG Eastern Section Meetings
AAPG Education Directorate
AAPG Energy Minerals Division
AAPG Hedberg Conferences
AAPG ePosters
AAPG Europe Region Meetings
AAPG Latin America & Caribbean Region
AAPG Mid-Continent Section Meetings
AAPG Middle East Meetings
AAPG Pacific Section Meetings
AAPG Rocky Mountain Section Meetings
AAPG Southwest Section Meetings
Explorer Historical Highlights
The Next 100 Years of Energy
Discovery Thinking Forums
GCAGS Conventions
GeoConvention (CSPG)
Geophysical Corner Articles
PAPG-ACT Conventions
Petroleum Drilling Techniques
Tulsa Geological Society Presentations
Energy Transition Forum
Award
IBA
Current Champions
IBA Competitors 2015
Submissions
Datapages Home
Archives
Pay-Per-View Archives
Search and Discovery
GIS-UDRIL Subscribers
GIS Open Files
AAPG Bookstore
AAPG Home
Print this page
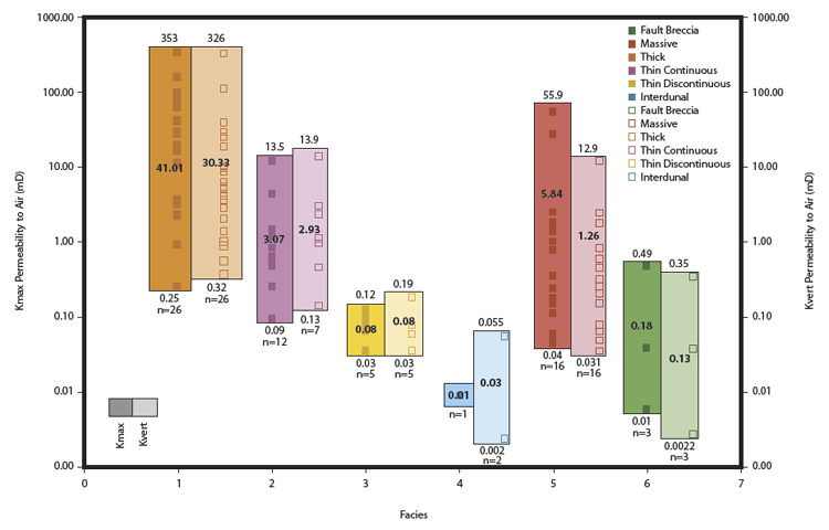
Figure 14. Permeability for Upper Navajo lithofacies.
Search and Discovery
Featured Articles
» 2024 AAPG ICE Abstracts
» Oil Prices in Near Future
» Lithium in the Smackover Formation
Archives
» APPEA
» GeoExPro
» SEPM
» WTGS
» Subscription Information
AAPG Store
Featured Digital Pubs
» COSUNA Charts
» Highway Maps
» Special Pubs Downloads
» RMAG Maps
GIS Map Publishing Program
» GIS Maps Overview
» DEO-GIS (Subscription)
» GIS-UDRIL (Subscription)
» GIS Open Files (Free)