
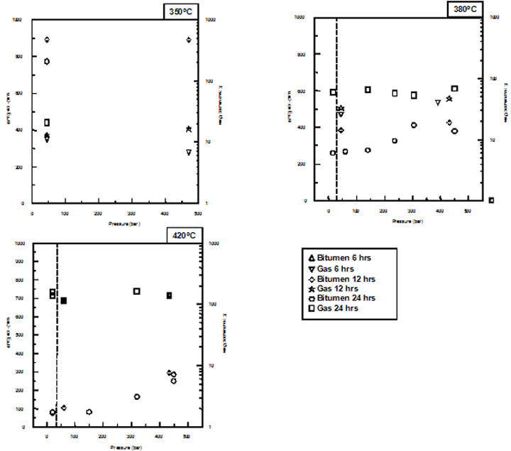
Figure 2. Bitumen/oil yields obtained from the Kimmeridge Clay pyrolysed at 350°,380° and 420 for 6, 12 or 24 hours at different pressures

Figure 2. Bitumen/oil yields obtained from the Kimmeridge Clay pyrolysed at 350°,380° and 420 for 6, 12 or 24 hours at different pressures